Официальное опубликование правовых актов
ОФИЦИАЛЬНОЕ ОПУБЛИКОВАНИЕ
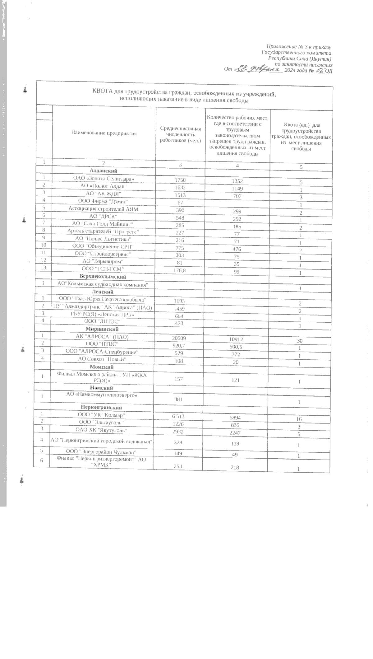
Приказ Государственного комитета Республики Саха (Якутия) по занятости населения от 28.02.2024 № ОД-56
"О распределении квоты организациям – работодателям Республики Саха (Якутия) на 2024 год"
(Зарегистрирован 13.03.2024 № RU1401420221870)
Номер опубликования: 1401202403190002
Дата опубликования: 19.03.2024
Страница №22 из 40:
Увеличить