Официальное опубликование правовых актов
ОФИЦИАЛЬНОЕ ОПУБЛИКОВАНИЕ
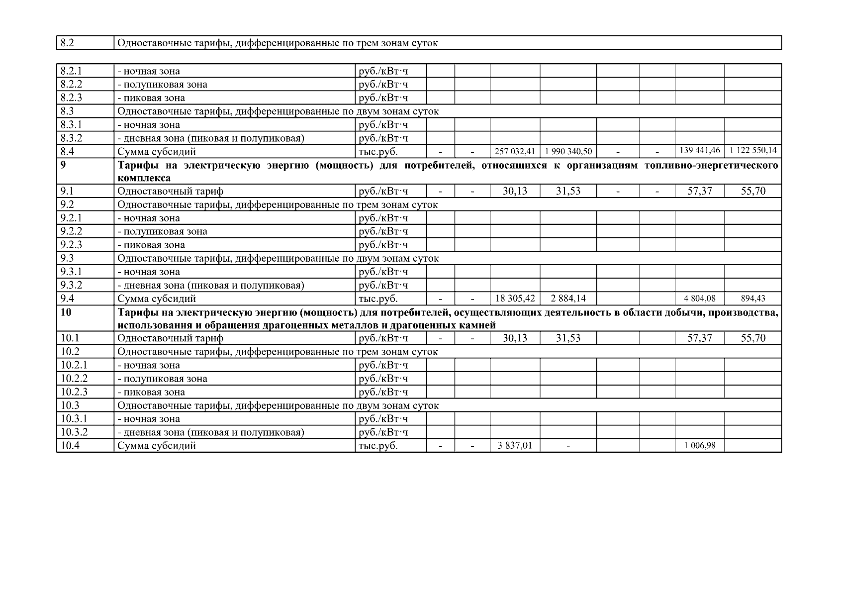
Постановление Государственного комитета по ценовой политике Республики Саха (Якутия) от 06.02.2024 № 15
"О внесении изменений в постановление Правления ГКЦ РС(Я) от 27 декабря 2023 года № 255 "Об установлении тарифов на электрическую энергию (мощность), поставляемую АО "Сахаэнерго" потребителям Республики Саха (Якутия) на 2024 год"
(Зарегистрирован 07.02.2024 № RU1401420221843)
Номер опубликования: 1401202402090002
Дата опубликования: 09.02.2024
Страница №6 из 19:
Увеличить