Официальное опубликование правовых актов
ОФИЦИАЛЬНОЕ ОПУБЛИКОВАНИЕ
Приказ Министерства экологии, природопользования и лесного хозяйства Республики Саха (Якутия) от 13.12.2023 № 01-05/1-858
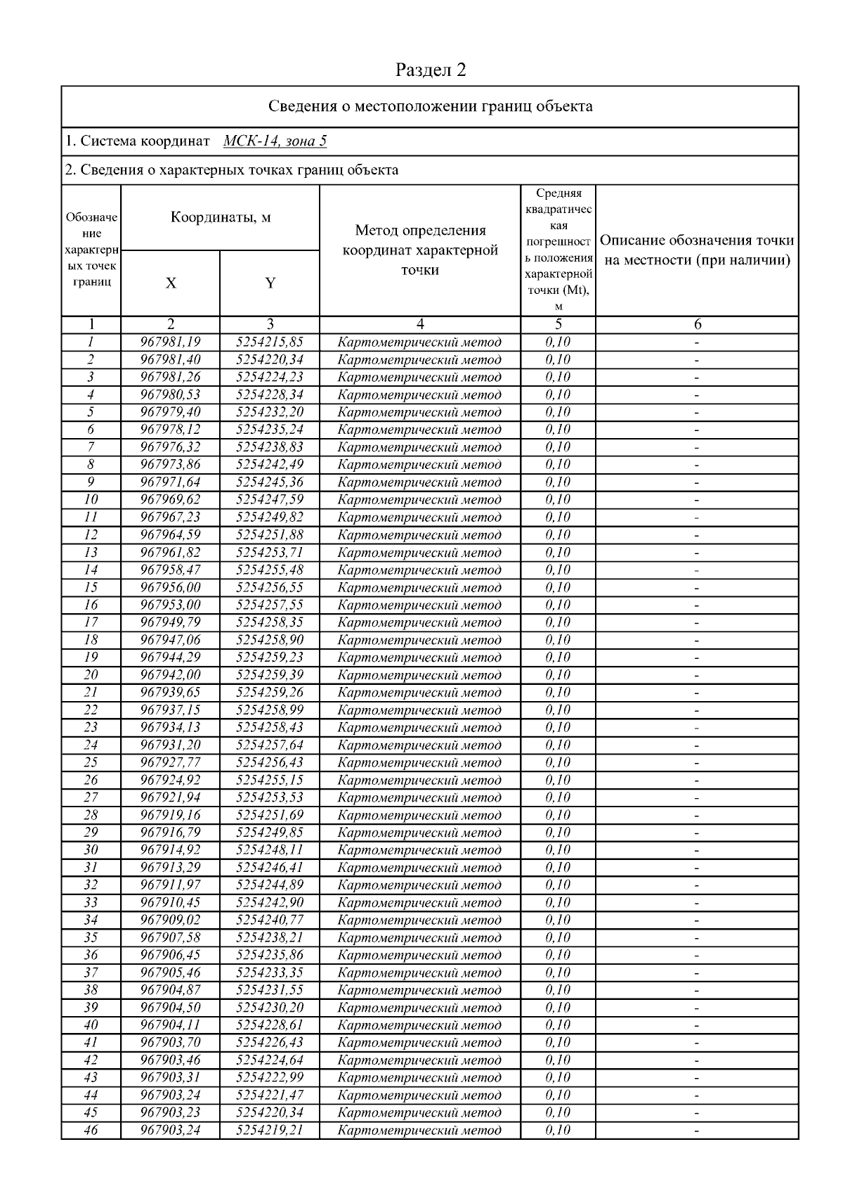
"Об установлении границ зон санитарной охраны водозабора подземных вод на участке водозаборной скважины № Г-006 "Национальный центр медицины"
(Зарегистрирован 28.12.2023 № RU1401420221783)
Номер опубликования: 1401202312290034
Дата опубликования: 29.12.2023
Страница №8 из 23:
Увеличить