Официальное опубликование правовых актов
ОФИЦИАЛЬНОЕ ОПУБЛИКОВАНИЕ
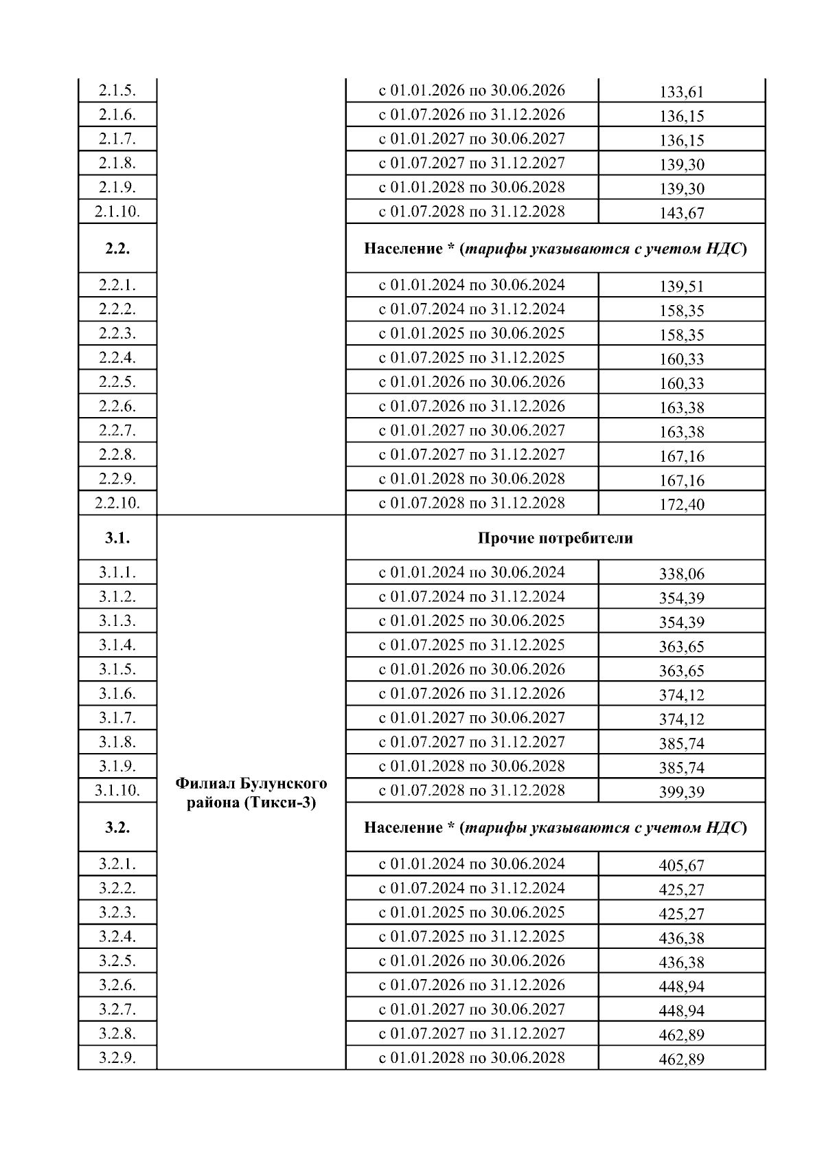
Постановление Государственного комитета по ценовой политике Республики Саха (Якутия) от 20.12.2023 № 229
"Об установлении долгосрочных тарифов и долгосрочных параметров регулирования на услуги водоотведения, оказываемые ГУП "ЖКХ РС(Я)" потребителям Республики Саха (Якутия) на 2024 - 2028 годы"
(Зарегистрирован 26.12.2023 № RU1401420221773)
Номер опубликования: 1401202312260042
Дата опубликования: 26.12.2023
Страница №3 из 25:
Увеличить