Постановление Государственного комитета по ценовой политике Республики Саха (Якутия) от 20.12.2023 № 187
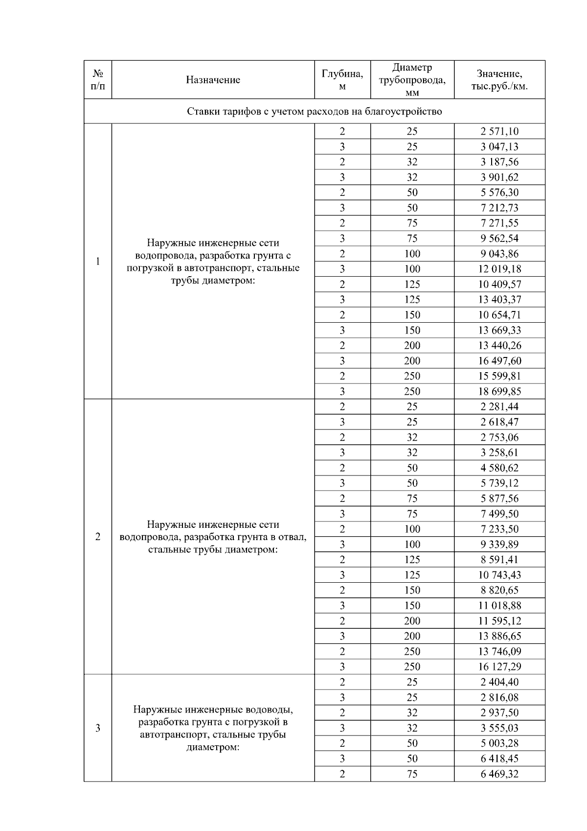
"Об установлении ставок тарифов на подключение (технологическое присоединение) к централизованным системам холодного, горячего водоснабжения и водоотведения АО "Теплоэнергосервис" на 2024 год"
(Зарегистрирован 26.12.2023 № RU1401420221731)
"Об установлении ставок тарифов на подключение (технологическое присоединение) к централизованным системам холодного, горячего водоснабжения и водоотведения АО "Теплоэнергосервис" на 2024 год"
(Зарегистрирован 26.12.2023 № RU1401420221731)
Номер опубликования: 1401202312260021
Дата опубликования:
26.12.2023
