Официальное опубликование правовых актов
ОФИЦИАЛЬНОЕ ОПУБЛИКОВАНИЕ
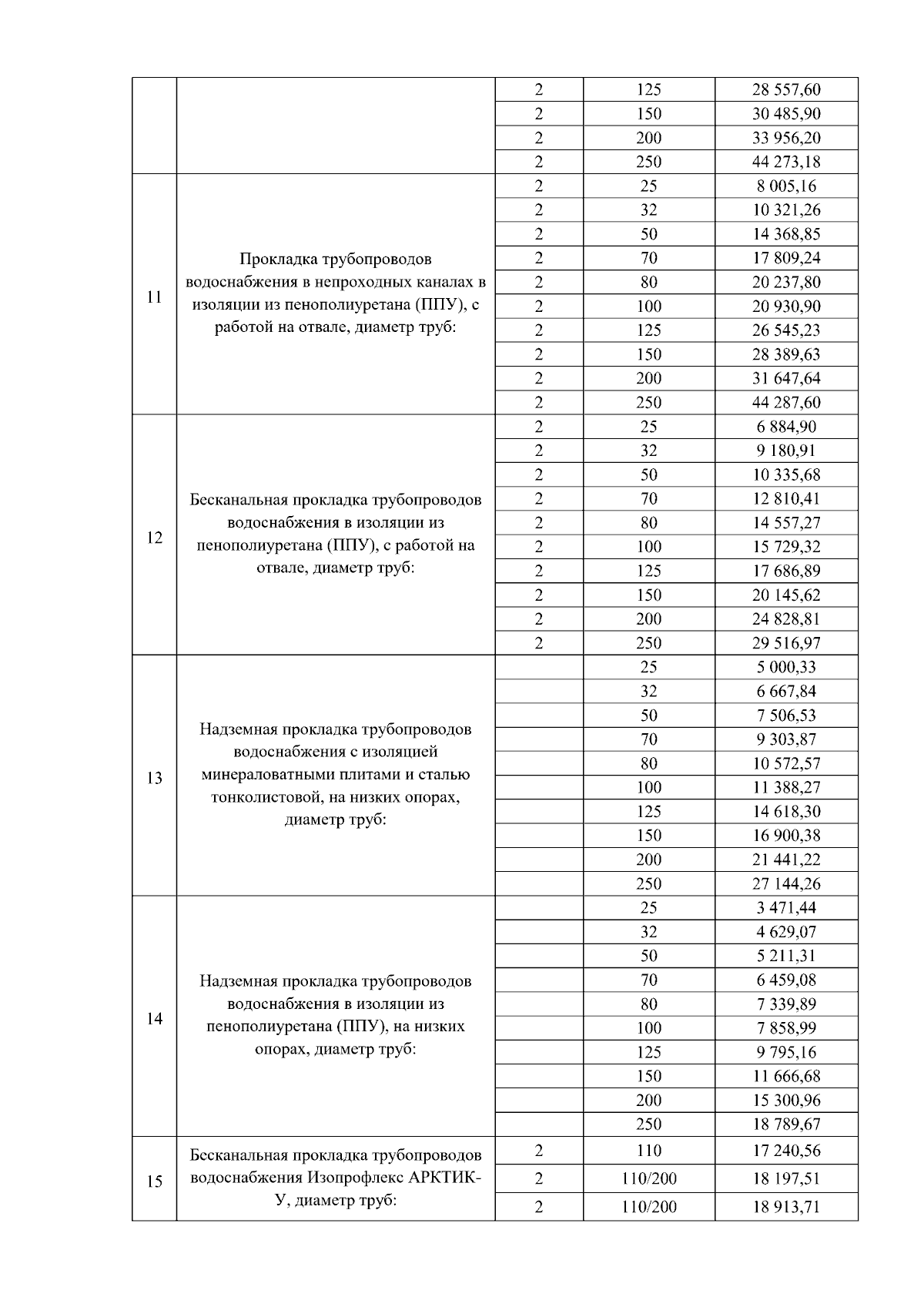
Постановление Государственного комитета по ценовой политике Республики Саха (Якутия) от 20.12.2023 № 191
"Об установлении ставок тарифов на подключение (технологическое присоединение) к централизованным системам холодного и горячего водоснабжения ПАО "Якутскэнерго" на 2024 год"
(Зарегистрирован 26.12.2023 № RU1401420221735)
Номер опубликования: 1401202312260008
Дата опубликования: 26.12.2023
Страница №7 из 14:
Увеличить