Постановление Государственного комитета по ценовой политике Республики Саха (Якутия) от 20.12.2023 № 186
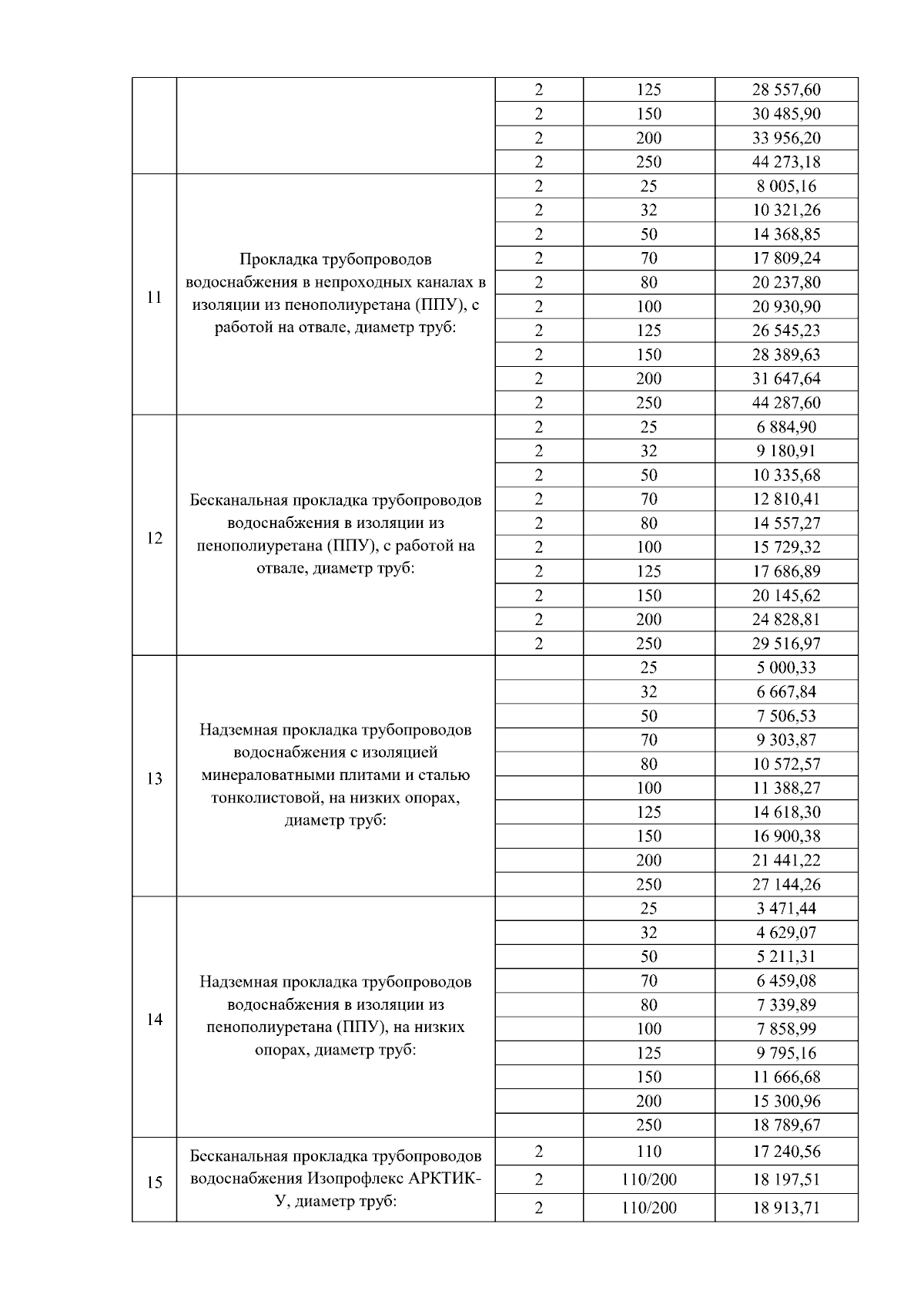
"Об установлении ставок тарифов на подключение (технологическое присоединение) к централизованным системам холодного и горячего водоснабжения АО "Теплоэнергия" на 2024 год"
(Зарегистрирован 26.12.2023 № RU1401420221730)
"Об установлении ставок тарифов на подключение (технологическое присоединение) к централизованным системам холодного и горячего водоснабжения АО "Теплоэнергия" на 2024 год"
(Зарегистрирован 26.12.2023 № RU1401420221730)
Номер опубликования: 1401202312260004
Дата опубликования:
26.12.2023
