Официальное опубликование правовых актов
ОФИЦИАЛЬНОЕ ОПУБЛИКОВАНИЕ
Постановление Государственного комитета по ценовой политике Республики Саха (Якутия) от 13.12.2023 № 141
"Об установлении тарифов на электрическую энергию (мощность), поставляемую потребителям ПАО "Якутскэнерго" на 2024 год"
(Зарегистрирован 18.12.2023 № RU1401420221681)
Номер опубликования: 1401202312190012
Дата опубликования: 19.12.2023
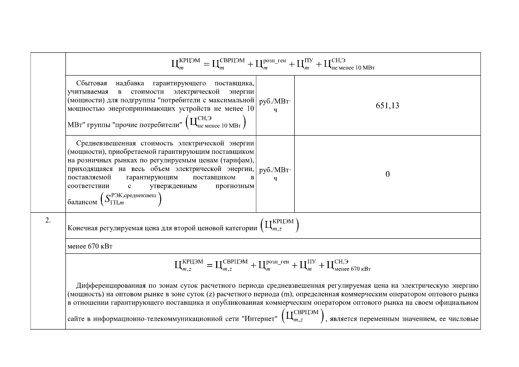
Страница №71 из 110:
Увеличить