Официальное опубликование правовых актов
ОФИЦИАЛЬНОЕ ОПУБЛИКОВАНИЕ
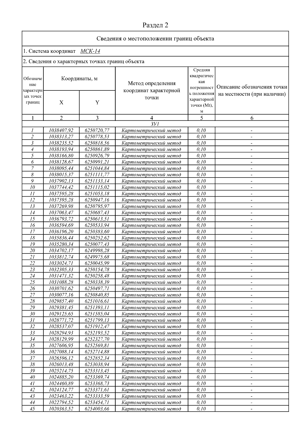
Приказ Министерства экологии, природопользования и лесного хозяйства Республики Саха (Якутия) от 04.12.2023 № 01-05/1-837
"Об установлении границ зон санитарной охраны водозабора р. Алдан п. Хандыга Томпонского района Республики Саха (Якутия) для ГУП "ЖКХ РС(Я)"
(Зарегистрирован 15.12.2023 № RU1401420221658)
Номер опубликования: 1401202312180007
Дата опубликования: 18.12.2023
Страница №8 из 154:
Увеличить