Официальное опубликование правовых актов
ОФИЦИАЛЬНОЕ ОПУБЛИКОВАНИЕ
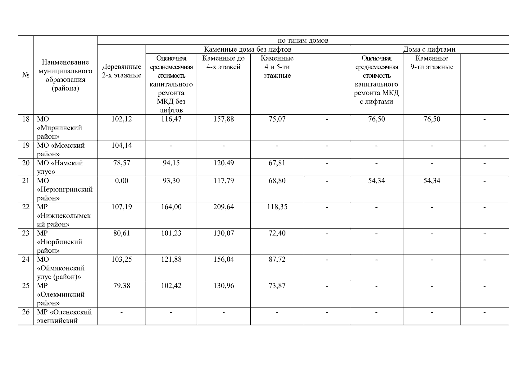
Приказ Министерства жилищно-коммунального хозяйства и энергетики Республики Саха (Якутия) от 24.11.2023 № 553-ОД
"Об утверждении минимального размера взноса на капитальный ремонт общего имущества в многоквартирных домах Республики Саха (Якутия)"
(Зарегистрирован 29.11.2023 № RU1401420221612)
Номер опубликования: 1401202311300001
Дата опубликования: 30.11.2023
Страница №5 из 7:
Увеличить