Официальное опубликование правовых актов
ОФИЦИАЛЬНОЕ ОПУБЛИКОВАНИЕ
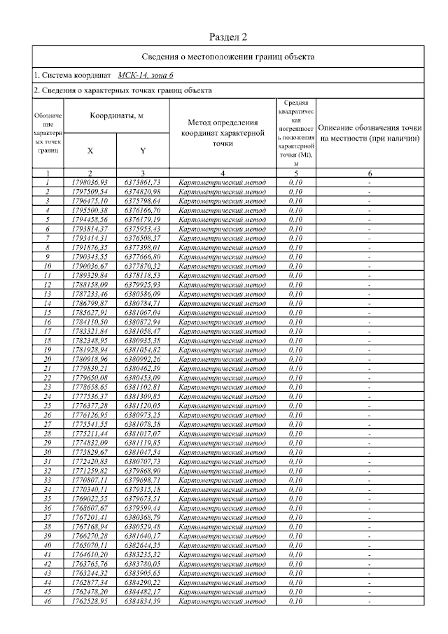
Приказ Министерства экологии, природопользования и лесного хозяйства Республики Саха (Якутия) от 18.07.2023 № 01-05/1-524
"Об установлении границ зон санитарной охраны водозабора на р. Селеннях с. Сайылык Усть-Янского филиала АО "Теплоэнергосервис""
(Зарегистрирован 28.07.2023 № RU1401420221528)
Номер опубликования: 1401202308010002
Дата опубликования: 01.08.2023
Страница №25 из 39:
Увеличить