Официальное опубликование правовых актов
ОФИЦИАЛЬНОЕ ОПУБЛИКОВАНИЕ
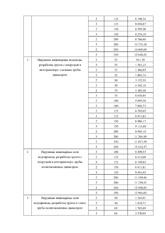
Постановление Государственного комитета по ценовой политике Республики Саха (Якутия) от 23.03.2023 № 25
"Об установлении ставок тарифов на подключение (технологическое присоединение) к централизованным системам холодного, горячего водоснабжения и водоотведения МУП "Жатайтеплосеть" на 2023 год"
(Зарегистрирован 30.03.2023 № RU1401420221400)
Номер опубликования: 1401202303310004
Дата опубликования: 31.03.2023
Страница №5 из 20:
Увеличить