Официальное опубликование правовых актов
ОФИЦИАЛЬНОЕ ОПУБЛИКОВАНИЕ
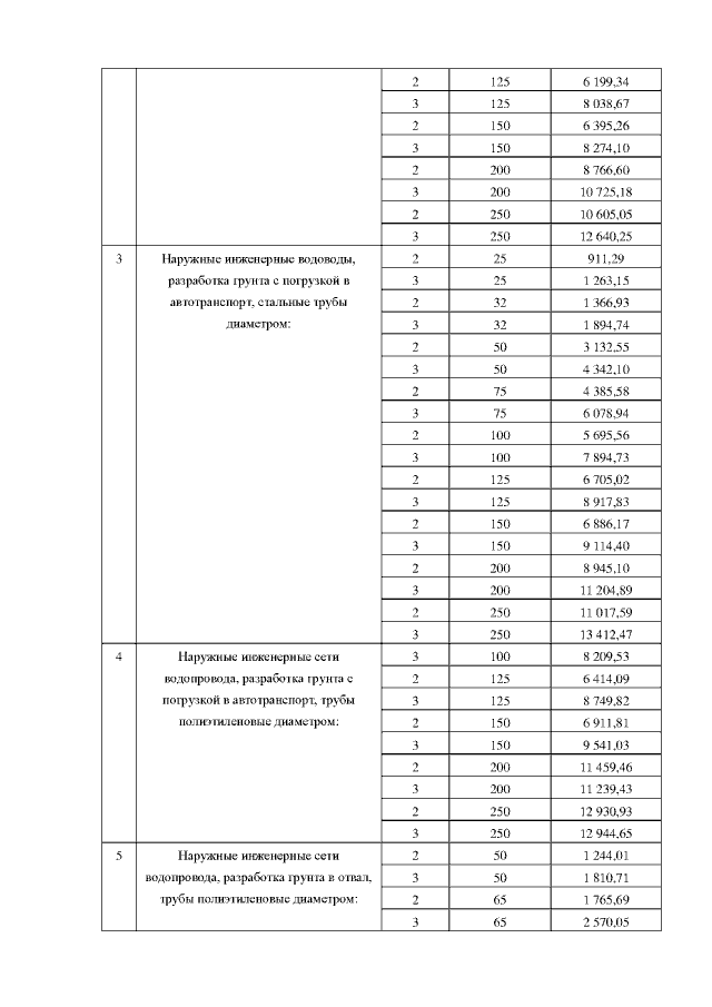
Постановление Государственного комитета по ценовой политике Республики Саха (Якутия) от 14.12.2022 № 360
"Об установлении ставок тарифов на подключение (технологическое присоединение) к централизованным системам холодного водоснабжения и водоотведения ООО "Энергорайон Чульман" на 2023 год"
(Зарегистрирован 20.12.2022 № RU1401420221262)
Номер опубликования: 1401202212210011
Дата опубликования: 21.12.2022
Страница №5 из 21:
Увеличить