Официальное опубликование правовых актов
ОФИЦИАЛЬНОЕ ОПУБЛИКОВАНИЕ
Постановление Государственного комитета по ценовой политике Республики Саха (Якутия) от 16.09.2022 № 146
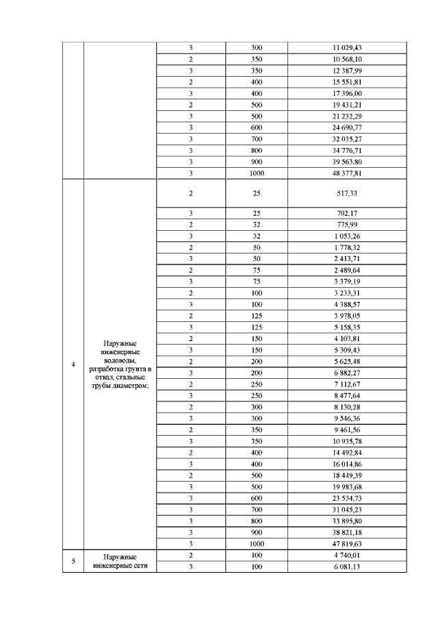
"Об установлении ставок тарифов на подключение (технологическое присоединение) к централизованным системам холодного, горячего водоснабжения и водоотведения МУП "Пригородная теплосетевая компания на 2022 год"
(Зарегистрирован 20.09.2022 № RU140142022981)
Номер опубликования: 1401202209220001
Дата опубликования: 22.09.2022
Страница №5 из 18:
Увеличить