Официальное опубликование правовых актов
ОФИЦИАЛЬНОЕ ОПУБЛИКОВАНИЕ
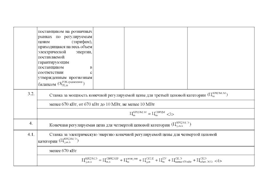
Постановление Государственного комитета по ценовой политике Республики Саха (Якутия) от 05.08.2022 № 122
"Об установлении тарифов на электрическую энергию (мощность), поставляемую покупателям ООО "МТС ЭНЕРГО" на территории Республики Саха (Якутия) на 2022 год"
(Зарегистрирован 10.08.2022 № RU140142022937)
Номер опубликования: 1401202208110003
Дата опубликования: 11.08.2022
Страница №18 из 36:
Увеличить