Официальное опубликование правовых актов
ОФИЦИАЛЬНОЕ ОПУБЛИКОВАНИЕ
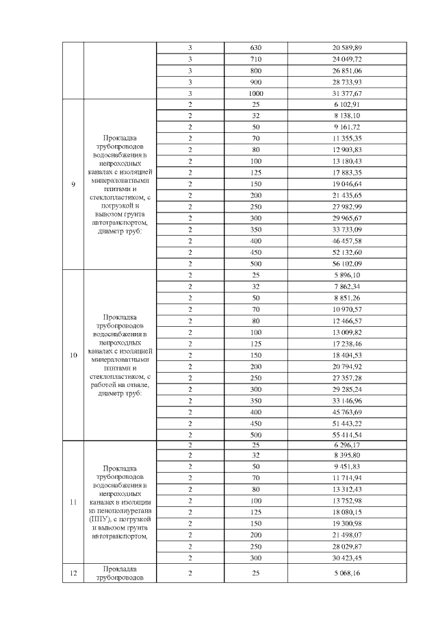
Постановление Государственного комитета по ценовой политике Республики Саха (Якутия) от 03.06.2022 № 58
"Об установлении ставок тарифов на подключение (технологическое присоединение) к централизованной системе холодного водоснабжения ООО "Намкоммунтеплоэнерго" на 2022 год"
(Зарегистрирован 08.06.2022 № RU140142022800)
Номер опубликования: 1401202206090007
Дата опубликования: 09.06.2022
Страница №8 из 12:
Увеличить