Официальное опубликование правовых актов
ОФИЦИАЛЬНОЕ ОПУБЛИКОВАНИЕ
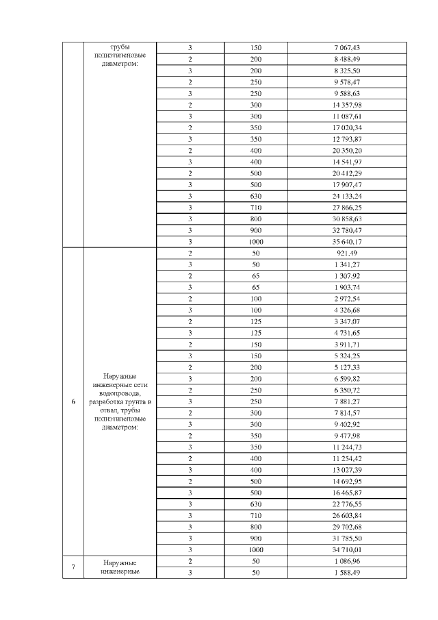
Постановление Государственного комитета по ценовой политике Республики Саха (Якутия) от 24.05.2022 № 55
"Об установлении ставок тарифов на подключение (технологическое присоединение) к централизованным системам холодного водоснабжения ООО "ХОТ" на 2022 год"
(Зарегистрирован 26.05.2022 № RU140142022779)
Номер опубликования: 1401202205270003
Дата опубликования: 27.05.2022
Страница №6 из 12:
Увеличить