Официальное опубликование правовых актов
ОФИЦИАЛЬНОЕ ОПУБЛИКОВАНИЕ
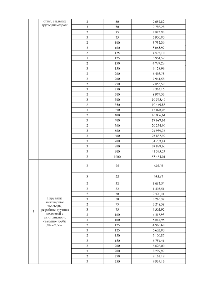
Постановление Государственного комитета по ценовой политике Республики Саха (Якутия) от 16.05.2022 № 52
"Об установлении ставок тарифов на подключение (технологическое присоединение) к централизованным системам холодного, горячего водоснабжения и водоотведения ООО "Предприятие тепловодоснабжения" на 2022 год"
(Зарегистрирован 19.05.2022 № RU140142022765)
Номер опубликования: 1401202205200014
Дата опубликования: 20.05.2022
Страница №4 из 18:
Увеличить