Официальное опубликование правовых актов
ОФИЦИАЛЬНОЕ ОПУБЛИКОВАНИЕ
Постановление Государственного комитета по ценовой политике Республики Саха (Якутия) от 30.12.2021 № 346
"Об установлении тарифов на электрическую энергию (мощность), поставляемую покупателям ООО "Транснефтьэнерго" на территории Республики Саха (Якутия) на 2022 год"
(Зарегистрирован 11.01.2022 № RU140142022494)
Номер опубликования: 1401202201120009
Дата опубликования: 12.01.2022
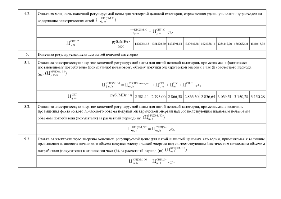
Страница №15 из 63:
Увеличить