Официальное опубликование правовых актов
ОФИЦИАЛЬНОЕ ОПУБЛИКОВАНИЕ
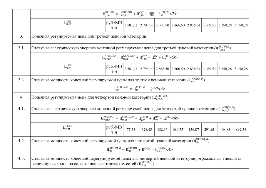
Постановление Государственного комитета по ценовой политике Республики Саха (Якутия) от 30.12.2021 № 347
"Об установлении тарифов на электрическую энергию (мощность), поставляемую покупателям ООО "Мечел-Энерго" на территории Республики Саха (Якутия) на 2022 год"
(Зарегистрирован 11.01.2022 № RU140142022495)
Номер опубликования: 1401202201120004
Дата опубликования: 12.01.2022
Страница №3 из 21:
Увеличить