Официальное опубликование правовых актов
ОФИЦИАЛЬНОЕ ОПУБЛИКОВАНИЕ
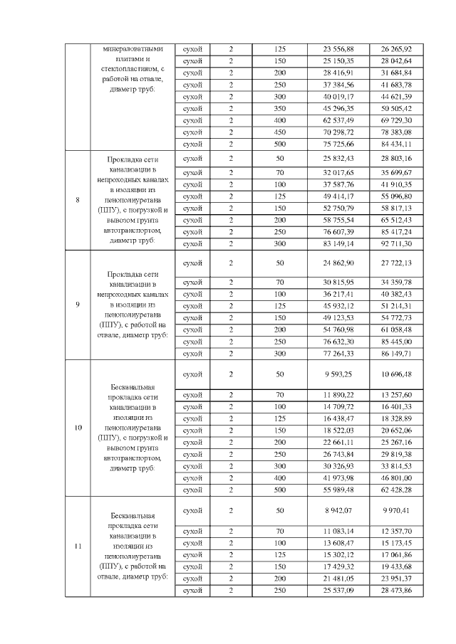
Постановление Государственного комитета по ценовой политике Республики Саха (Якутия) от 24.12.2021 № 320
"Об установлении ставок тарифов на подключение (технологическое присоединение) к централизованным системам холодного водоснабжения и водоотведения ООО "Хатан" на 2022 год"
(Зарегистрирован 28.12.2021 № RU140142022449)
Номер опубликования: 1401202112290019
Дата опубликования: 29.12.2021
Страница №17 из 18:
Увеличить