Официальное опубликование правовых актов
ОФИЦИАЛЬНОЕ ОПУБЛИКОВАНИЕ
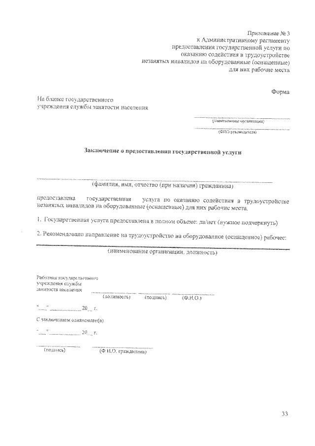
Приказ Государственного комитета Республики Саха (Якутия) по занятости населения от 17.12.2021 № ОД-321
"Об утверждении Административного регламента предоставления государственной услуги по оказанию содействия в трудоустройстве незанятых инвалидов на оборудованные (оснащенные) для них рабочие места"
(Зарегистрирован 28.12.2021 № RU140142022453)
Номер опубликования: 1401202112290010
Дата опубликования: 29.12.2021
Страница №34 из 35:
Увеличить