Официальное опубликование правовых актов
ОФИЦИАЛЬНОЕ ОПУБЛИКОВАНИЕ
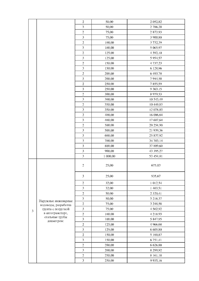
Постановление Государственного комитета по ценовой политике Республики Саха (Якутия) от 16.12.2021 № 295
"Об установлении ставок тарифов на подключение (технологическое присоединение) к централизованным системам холодного, горячего водоснабжения и водоотведения ГУП "Жилищно-коммунальное хозяйство Республики Саха (Якутия)" на 2022 год"
(Зарегистрирован 20.12.2021 № RU140142022360)
Номер опубликования: 1401202112240012
Дата опубликования: 24.12.2021
Страница №4 из 19:
Увеличить