Официальное опубликование правовых актов
ОФИЦИАЛЬНОЕ ОПУБЛИКОВАНИЕ
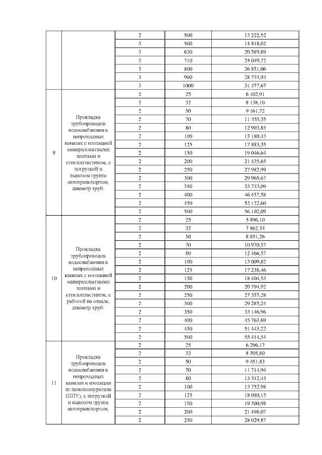
Постановление Государственного комитета по ценовой политике Республики Саха (Якутия) от 16.12.2021 № 304
"Об установлении ставок тарифов на подключение (технологическое присоединение) к централизованным системам холодного и горячего водоснабжения АО "Теплоэнергия" на 2022 год"
(Зарегистрирован 22.12.2021 № RU140142022416)
Номер опубликования: 1401202112230018
Дата опубликования: 23.12.2021
Страница №8 из 12:
Увеличить