Официальное опубликование правовых актов
ОФИЦИАЛЬНОЕ ОПУБЛИКОВАНИЕ
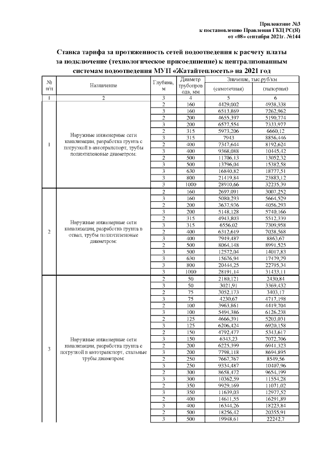
Постановление Государственного комитета по ценовой политике Республики Саха (Якутия) от 08.09.2021 № 144
"Об установлении ставок тарифов на подключение (технологическое присоединение) к централизованным системам горячего и холодного водоснабжения, водоотведения МУП "Жатайтеплосеть" на 2021 год"
(Зарегистрирован 10.09.2021 № RU140142022093)
Номер опубликования: 1401202109130007
Дата опубликования: 13.09.2021
Страница №11 из 14:
Увеличить