Официальное опубликование правовых актов
ОФИЦИАЛЬНОЕ ОПУБЛИКОВАНИЕ
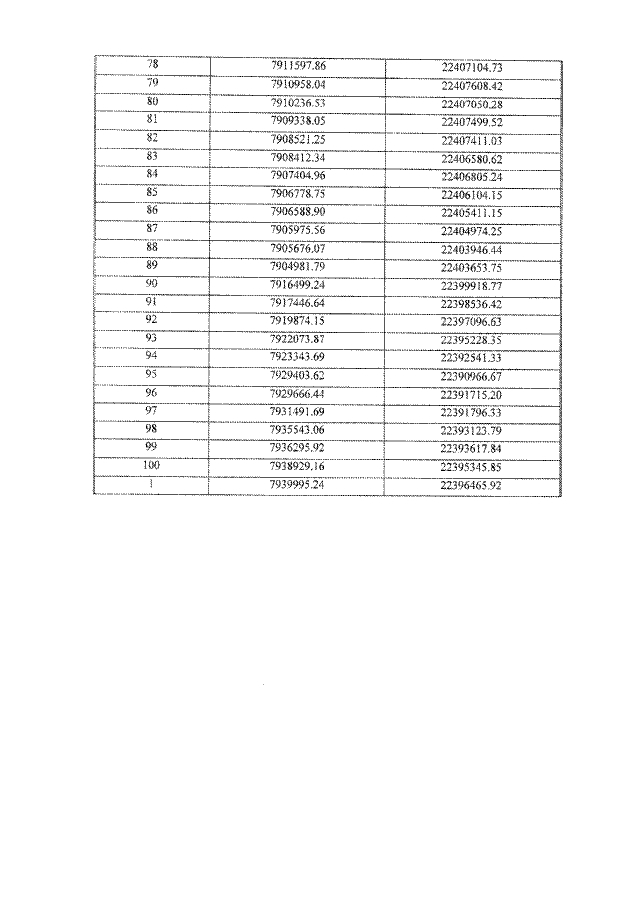
Приказ Министерства экологии, природопользования и лесного хозяйства Республики Саха (Якутия) от 26.07.2021 № 01-05/1-543
"Об утверждении Положения о ресурсном резервате республиканского значения "АЛРОСА-Rangifer-Чекановского" в Булунском улусе"
(Зарегистрирован 10.08.2021 № RU140142022065)
Номер опубликования: 1401202108110001
Дата опубликования: 11.08.2021
Страница №13 из 13:
Увеличить