Официальное опубликование правовых актов
ОФИЦИАЛЬНОЕ ОПУБЛИКОВАНИЕ
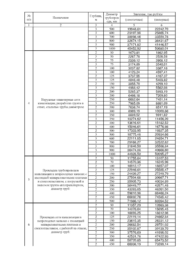
Постановление Государственного комитета по ценовой политике Республики Саха (Якутия) от 04.08.2021 № 132
"Об установлении ставок тарифов на подключение (технологическое присоединение) к централизованным системам холодного и горячего водоснабжения, водоотведения АО "Сахаэнерго" на 2021 год"
(Зарегистрирован 06.08.2021 № RU140142022061)
Номер опубликования: 1401202108060003
Дата опубликования: 06.08.2021
Страница №12 из 14:
Увеличить