Официальное опубликование правовых актов
ОФИЦИАЛЬНОЕ ОПУБЛИКОВАНИЕ
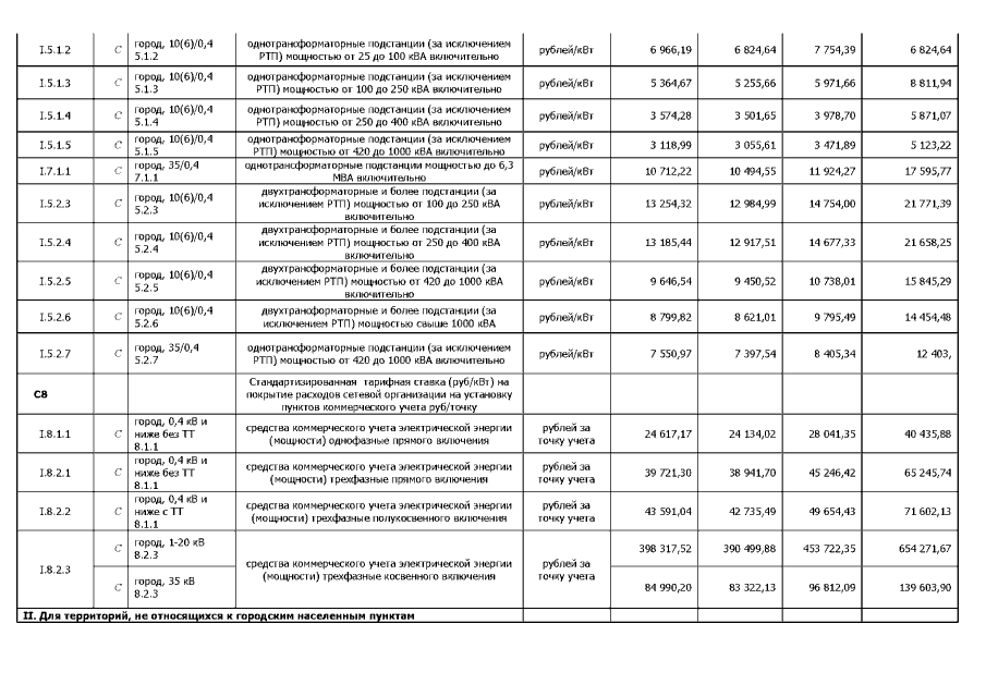
Постановление Государственного комитета по ценовой политике Республики Саха (Якутия) от 04.08.2021 № 130
"О внесении изменений в постановление Правления ГКЦ РС (Я) от 28 декабря 2020 года №331 "Об установлении платы за технологическое присоединение заявителей к электрическим сетям на территории Республики Саха (Якутия) на 2021 год"
(Зарегистрирован 06.08.2021 № RU140142022059)
Номер опубликования: 1401202108060001
Дата опубликования: 06.08.2021
Страница №7 из 16:
Увеличить