Официальное опубликование правовых актов
ОФИЦИАЛЬНОЕ ОПУБЛИКОВАНИЕ
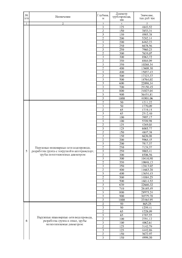
Постановление Государственного комитета по ценовой политике Республики Саха (Якутия) от 18.06.2021 № 73
"Об установлении ставок тарифов на подключение (технологическое присоединение) к централизованным системам холодного водоснабжения и водоотведения ООО "Энергорайон Чульман" на 2021 год"
(Зарегистрирован 23.06.2021 № RU140142021972)
Номер опубликования: 1401202106240006
Дата опубликования: 24.06.2021
Страница №5 из 14:
Увеличить