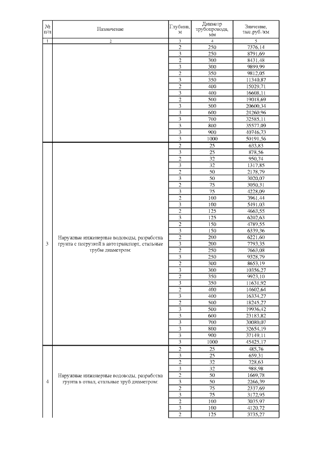
Постановление Государственного комитета по ценовой политике Республики Саха (Якутия) от 21.05.2021 № 45
"Об установлении ставок тарифов на подключение (технологическое присоединение) к централизованным системам холодного и горячего водоснабжения, водоотведения ООО "Ленское предприятие тепловых и электрических сетей" на 2021 год"
(Зарегистрирован 25.05.2021 № RU140142021912)
"Об установлении ставок тарифов на подключение (технологическое присоединение) к централизованным системам холодного и горячего водоснабжения, водоотведения ООО "Ленское предприятие тепловых и электрических сетей" на 2021 год"
(Зарегистрирован 25.05.2021 № RU140142021912)
Номер опубликования: 1401202105260003
Дата опубликования:
26.05.2021
