Официальное опубликование правовых актов
ОФИЦИАЛЬНОЕ ОПУБЛИКОВАНИЕ
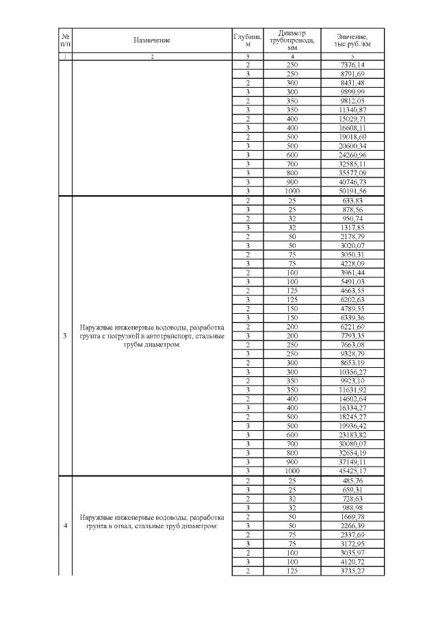
Постановление Государственного комитета по ценовой политике Республики Саха (Якутия) от 26.04.2021 № 37
"Об установлении ставок тарифов на подключение (технологическое присоединение) к централизованной системе холодного водоснабжения АО "Намкоммунтеплоэнерго" на 2021 год"
(Зарегистрирован 11.05.2021 № RU140142021900)
Номер опубликования: 1401202105120005
Дата опубликования: 12.05.2021
Страница №4 из 10:
Увеличить