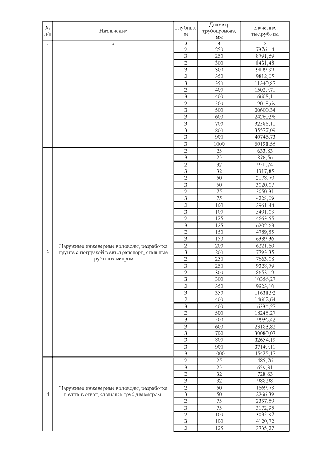
Постановление Государственного комитета по ценовой политике Республики Саха (Якутия) от 19.02.2021 № 24
"Об установлении ставок тарифов на подключение (технологическое присоединение) к централизованным системам холодного и горячего водоснабжения, водоотведения ООО "Предприятие тепловодоснабжения" на 2021 год"
(Зарегистрирован 20.02.2021 № RU140142021783)
"Об установлении ставок тарифов на подключение (технологическое присоединение) к централизованным системам холодного и горячего водоснабжения, водоотведения ООО "Предприятие тепловодоснабжения" на 2021 год"
(Зарегистрирован 20.02.2021 № RU140142021783)
Номер опубликования: 1401202102240006
Дата опубликования:
24.02.2021
