Официальное опубликование правовых актов
ОФИЦИАЛЬНОЕ ОПУБЛИКОВАНИЕ
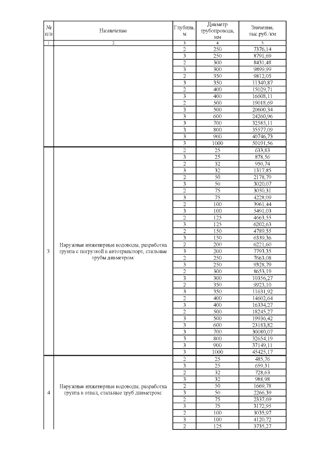
Постановление Государственного комитета по ценовой политике Республики Саха (Якутия) от 29.01.2021 № 8
"Об установлении ставок тарифов на подключение (технологическое присоединение) к централизованным системам холодного и горячего водоснабжения, водоотведения АО "Теплоэнергосервис" на 2021 год"
(Зарегистрирован 03.02.2021 № RU140142021762)
Номер опубликования: 1401202102040003
Дата опубликования: 04.02.2021
Страница №4 из 14:
Увеличить