Официальное опубликование правовых актов
ОФИЦИАЛЬНОЕ ОПУБЛИКОВАНИЕ
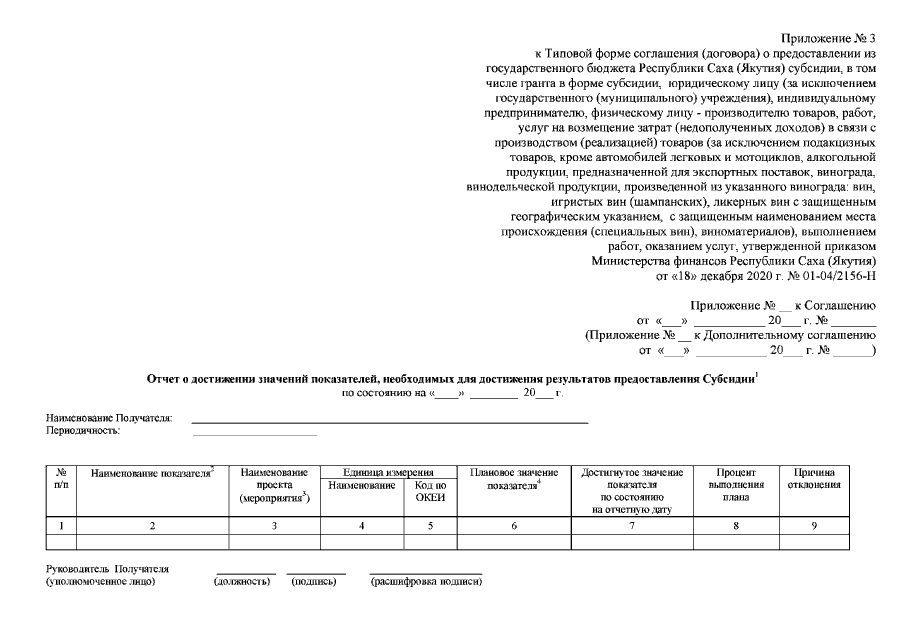
Приказ Министерства финансов Республики Саха (Якутия) от 18.12.2020 № 01-04/2156-Н
"Об утверждении типовых форм соглашений (договоров) о предоставлении из государственного бюджета Республики Саха (Якутия) субсидий, в том числе грантов в форме субсидий, в соответствии с пунктами 3 и 7 статьи 78, пунктами 2 и 4 статьи 78.1 Бюджетного кодекса Российской Федерации"
(Зарегистрирован 11.01.2021 № RU140142021713)
Номер опубликования: 1401202101140023
Дата опубликования: 14.01.2021
Страница №75 из 93:
Увеличить