Официальное опубликование правовых актов
ОФИЦИАЛЬНОЕ ОПУБЛИКОВАНИЕ
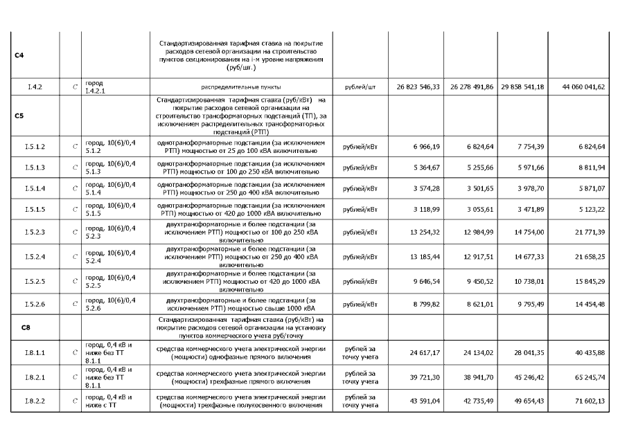
Постановление Государственного комитета по ценовой политике Республики Саха (Якутия) от 28.12.2020 № 331
"Об установлении платы за технологическое присоединение заявителей к электрическим сетям на территории Республики Саха (Якутия) на 2021 год"
(Зарегистрирован 30.12.2020 № RU140142020692)
Номер опубликования: 1401202012310009
Дата опубликования: 31.12.2020
Страница №10 из 22:
Увеличить