Официальное опубликование правовых актов
ОФИЦИАЛЬНОЕ ОПУБЛИКОВАНИЕ
Приказ Министерства труда и социального развития Республики Саха (Якутия) от 09.06.2020 № 34-Н
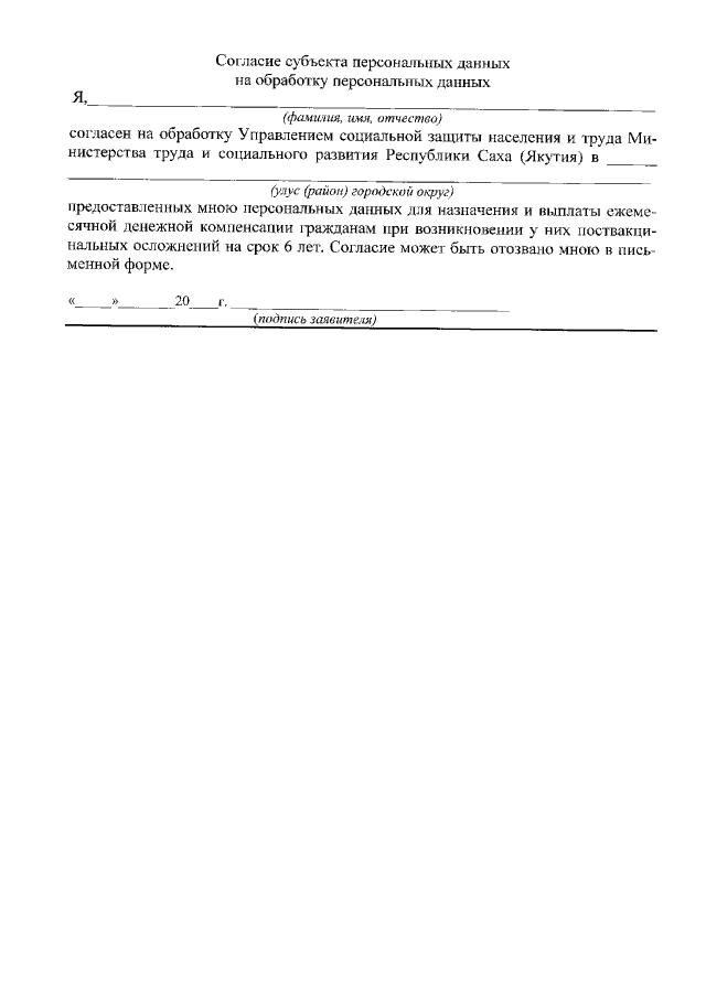
"Об утверждении Административного регламента Министерства труда и социального развития Республики Саха (Якутия) по предоставлению государственной услуги "Выплата государственного единовременного пособия и ежемесячной денежной компенсации гражданам при возникновении у них поствакцинальных осложнений"
(Зарегистрирован 25.06.2020 № RU140142020350)
Номер опубликования: 1401202006260002
Дата опубликования: 26.06.2020
Страница №45 из 49:
Увеличить