Официальное опубликование правовых актов
ОФИЦИАЛЬНОЕ ОПУБЛИКОВАНИЕ
Приказ Государственного комитета по обеспечению безопасности жизнедеятельности населения Республики Саха (Якутия) от 02.06.2020 № 113
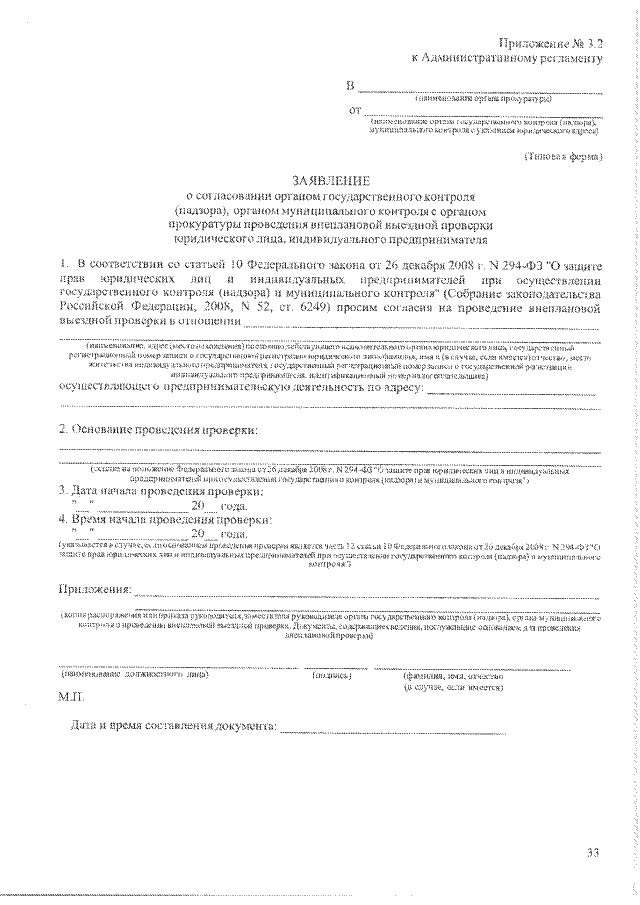
"Об утверждении Административного регламента Государственного комитета по обеспечению безопасности жизнедеятельности населения РС(Я) исполнения государственной функции по осуществлению регионального государственного надзора в области защиты населения и территорий от чрезвычайных ситуаций природного и техногенного характера"
(Зарегистрирован 18.06.2020 № RU140142020347)
Номер опубликования: 1401202006250001
Дата опубликования: 25.06.2020
Страница №35 из 50:
Увеличить