Официальное опубликование правовых актов
ОФИЦИАЛЬНОЕ ОПУБЛИКОВАНИЕ
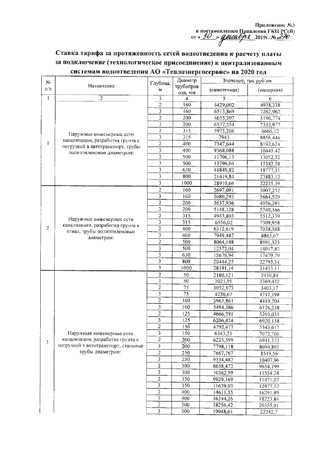
Постановление Государственного комитета по ценовой политике Республики Саха (Якутия) от 30.12.2019 № 270
"Об установлении ставок тарифов на подключение (технологическое присоединение) к централизованным системам холодного и горячего водоснабжения, водоотведения АО "Теплоэнегросервис" на 2020 год"
(Зарегистрирован 09.01.2020 № RU140142020113)
Номер опубликования: 1401202001130001
Дата опубликования: 13.01.2020
Страница №11 из 14:
Увеличить