Официальное опубликование правовых актов
ОФИЦИАЛЬНОЕ ОПУБЛИКОВАНИЕ
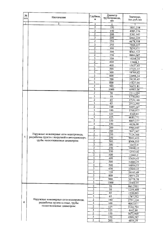
Постановление Государственного комитета по ценовой политике Республики Саха (Якутия) от 12.12.2019 № 179
"Об установлении ставок тарифов на подключение (технологическое подключение) к централизованным системам холодного и горячего водоснабжения ООО "Эколайн" на 2020 год"
(Зарегистрирован 16.12.2019 № RU140142019990)
Номер опубликования: 1401201912170028
Дата опубликования: 17.12.2019
Страница №5 из 10:
Увеличить