Официальное опубликование правовых актов
ОФИЦИАЛЬНОЕ ОПУБЛИКОВАНИЕ
Постановление Государственного комитета по ценовой политике Республики Саха (Якутия) от 12.12.2019 № 177
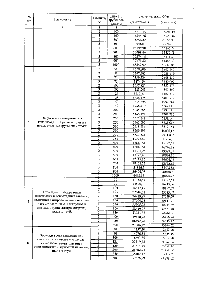
"Об установлении ставок тарифов на подключение (технологическое подключение) к централизованным системам холодного и горячего водоснабжения, водоотведения ООО "Предприятие тепловодоснабжения" на 2020 год"
(Зарегистрирован 16.12.2019 № RU140142019988)
Номер опубликования: 1401201912170008
Дата опубликования: 17.12.2019
Страница №12 из 14:
Увеличить