Постановление Государственного комитета по ценовой политике Республики Саха (Якутия) от 12.12.2019 № 174
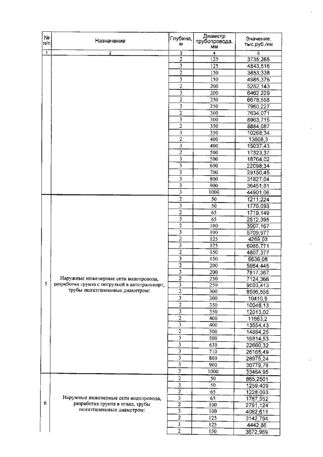
"Об установлении ставок тарифов на подключение (технологическое подключение) к централизованным системам холодного и горячего водоснабжения ПАО "Якутскэнерго" на 2020 год"
(Зарегистрирован 16.12.2019 № RU140142019985)
"Об установлении ставок тарифов на подключение (технологическое подключение) к централизованным системам холодного и горячего водоснабжения ПАО "Якутскэнерго" на 2020 год"
(Зарегистрирован 16.12.2019 № RU140142019985)
Номер опубликования: 1401201912170005
Дата опубликования:
17.12.2019
