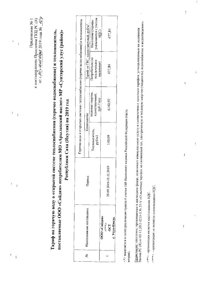
Постановление Государственного комитета по ценовой политике Республики Саха (Якутия) от 20.09.2019 № 104
"б установлении тарифов на горячую воду в открытой системе теплоснабжения (горячее водоснабжение) и теплоноситель, поставляемые ООО "Сайдам" потребителям МО "Арылахский наслег" МР "Сунтарский улус (район) Республики Саха (Якутия) на 2019 год"
(Зарегистрирован 20.09.2019 № RU140142019621)
"б установлении тарифов на горячую воду в открытой системе теплоснабжения (горячее водоснабжение) и теплоноситель, поставляемые ООО "Сайдам" потребителям МО "Арылахский наслег" МР "Сунтарский улус (район) Республики Саха (Якутия) на 2019 год"
(Зарегистрирован 20.09.2019 № RU140142019621)
Номер опубликования: 1401201909230001
Дата опубликования:
23.09.2019
