Официальное опубликование правовых актов
ОФИЦИАЛЬНОЕ ОПУБЛИКОВАНИЕ
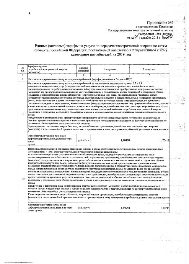
Постановление Государственного комитета по ценовой политике Республики Саха (Якутия) от 28.12.2018 № 226
"Об установлении единых (котловых) тарифов на услуги по передаче электрической энергии на территории Республики Саха (Якутия) на 2019 год"
(Зарегистрирован 29.12.2018 № RU140202018185)
Номер опубликования: 1401201812290008
Дата опубликования: 29.12.2018
Страница №8 из 9:
Увеличить