Официальное опубликование правовых актов
ОФИЦИАЛЬНОЕ ОПУБЛИКОВАНИЕ
Приказ Министерства промышленности и геологии Республики Саха (Якутия) от 12.12.2018 № 674-ОД
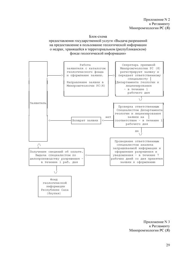
"Об утверждении административного регламента Министерства промышленности и геологии Республики Саха (Якутия) по осуществлению государственной услуги по выдаче разрешений на предоставление в пользование геологической информации о недрах, хранящейся в территориальном (республиканском) фонде геологической информации"
(Зарегистрирован 27.12.2018 № RU140152018162)
Номер опубликования: 1401201812290007
Дата опубликования: 29.12.2018
Страница №29 из 30:
Увеличить