Официальное опубликование правовых актов
ОФИЦИАЛЬНОЕ ОПУБЛИКОВАНИЕ
Постановление Государственного комитета по ценовой политике Республики Саха (Якутия) от 14.12.2018 № 162
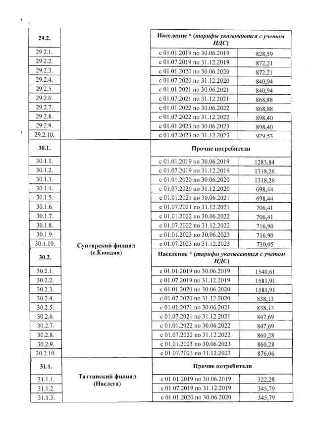
"Об установлении тарифов на питьевую воду (питьевое водоснабжение), поставляемую ГУП "ЖКХ РС (Я)" потребителям Республики Саха (Якутия) на 2019 - 2023 годы"
(Зарегистрирован 19.12.2018 № RU14020201889)
Номер опубликования: 1401201812210004
Дата опубликования: 21.12.2018
Страница №19 из 25:
Увеличить