Официальное опубликование правовых актов
ОФИЦИАЛЬНОЕ ОПУБЛИКОВАНИЕ
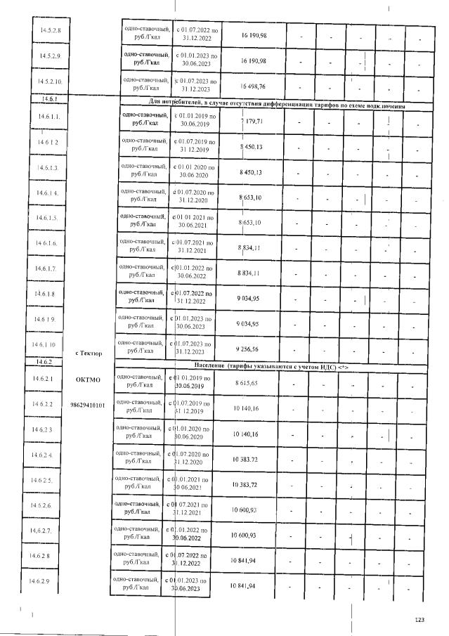
Постановление Государственного комитета по ценовой политике Республики Саха (Якутия) от 12.12.2018 № 139
"Об установлении долгосрочных тарифов на тепловую энергию (мощность), поставляемую ГУП "ЖКХ РС (Я)" потребителям Республики Саха (Якутия) на 2019-2023 годы"
(Зарегистрирован 17.12.2018 № RU14020201868)
Номер опубликования: 1401201812180001
Дата опубликования: 18.12.2018
Страница №123 из 299:
Увеличить