Официальное опубликование правовых актов
ОФИЦИАЛЬНОЕ ОПУБЛИКОВАНИЕ
Приказ Министерства труда и социального развития Республики Саха (Якутия) от 15.04.2018 № 493-ОД
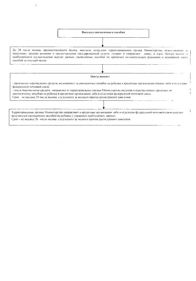
"Об утверждении административного регламента Министерства труда и социального развития Республики Саха (Якутия) по предоставлению государственной услуги "Назначение и выплата ежемесячного пособия на ребенка"
(Зарегистрирован 04.05.2018 № RU140102018184)
Номер опубликования: 1401201805110004
Дата опубликования: 11.05.2018
Страница №49 из 50:
Увеличить