Официальное опубликование правовых актов
ОФИЦИАЛЬНОЕ ОПУБЛИКОВАНИЕ
Приказ Департамента ветеринарии Республики Саха (Якутия) от 13.12.2017 № 314
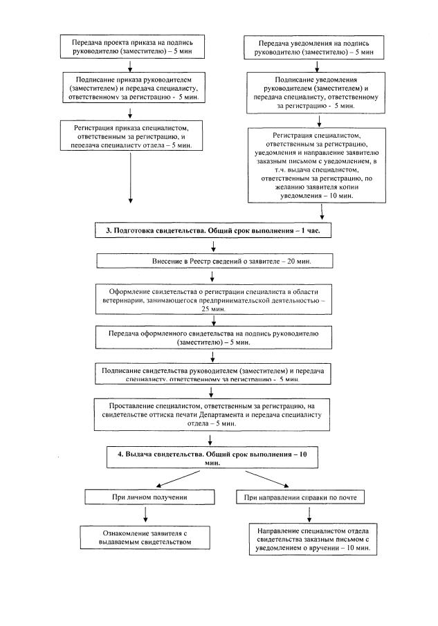
"Об утверждении Административного регламента Департамента ветеринарии Республики Саха (Якутия) по предоставлению государственной услуги "Государственная регистрация специалистов в области ветеринарии, занимающихся предпринимательской деятельностью"
(Зарегистрирован 28.12.2017 № RU140342017834)
Номер опубликования: 1401201801040003
Дата опубликования: 04.01.2018
Страница №33 из 43:
Увеличить