Официальное опубликование правовых актов
ОФИЦИАЛЬНОЕ ОПУБЛИКОВАНИЕ
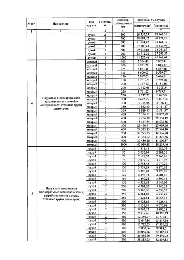
Постановление Государственного комитета по ценовой политике Республики Саха (Якутия) от 19.12.2017 № 693
"Об установлении ставок тарифов на подключение (технологическое присоединение) к централизованной системе холодного водоснабжения и водоотведения АО "Водоканал" на 2018 год"
(Зарегистрирован 21.12.2017 № RU140202017746)
Номер опубликования: 1401201712220027
Дата опубликования: 22.12.2017
Страница №12 из 14:
Увеличить