Официальное опубликование правовых актов
ОФИЦИАЛЬНОЕ ОПУБЛИКОВАНИЕ
Постановление Правительства Республики Саха (Якутия) от 16.12.2025 № 515
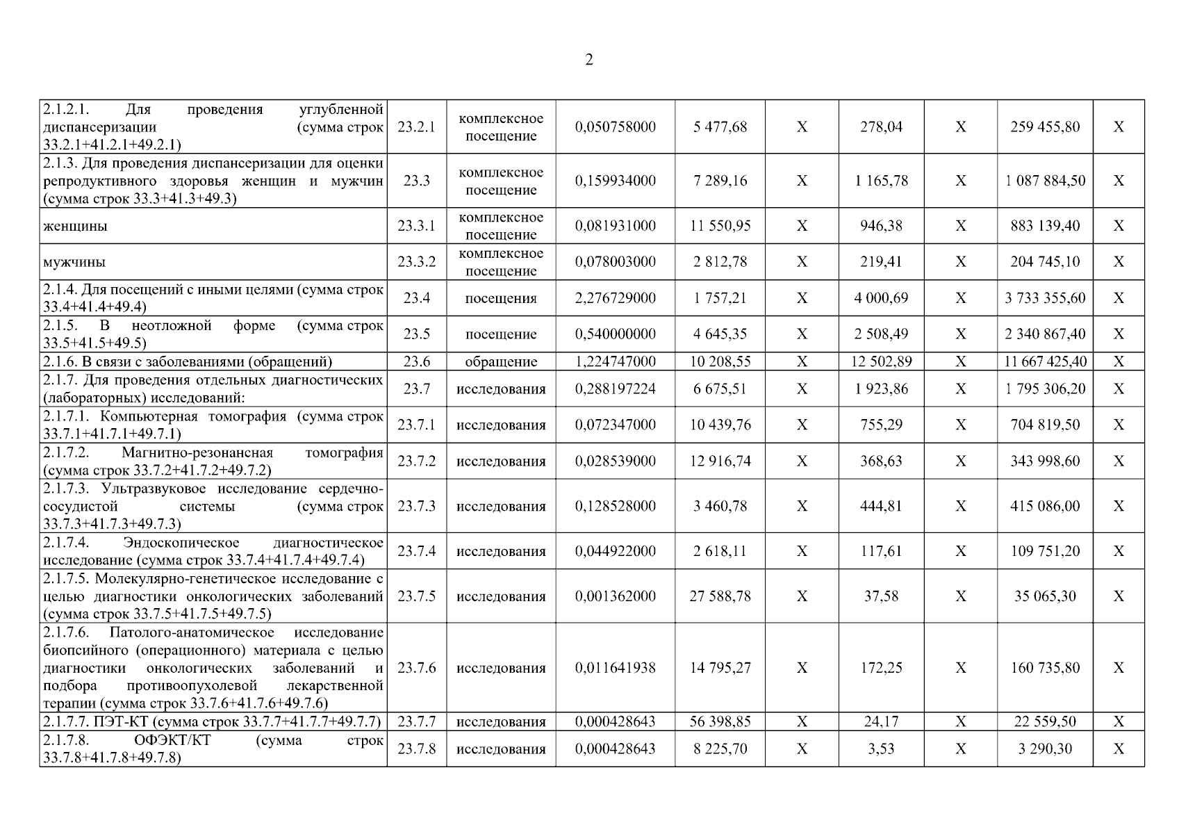
"О внесении изменений в программу государственных гарантий бесплатного оказания гражданам медицинской помощи в Республике Саха (Якутия) на 2025 год и на плановый период 2026 и 2027 годов, утвержденную постановлением Правительства Республики Саха (Якутия) от 30 января 2025 г. № 25"
Номер опубликования: 1400202512180001
Дата опубликования: 18.12.2025
Страница №46 из 63:
Увеличить